宁波材料所在聚乳酸链的含量对聚醚酯型HMDI基聚氨酯的结构与性能影响研究方面取得进展
2019-06-19 10:41:48
作者:本网整理 来源:中科院宁波材料所
聚氨酯是一种嵌段类的共聚物,通常呈现微相分离的形貌,具有较好的机械强度和优良的循环拉伸性能。基于脂肪族异氰酸酯的聚氨酯具有透明、不易黄化的优点,但是其机械强度往往较低,循环拉伸性能普遍较差。
聚乳酸是一种生物基可降解材料,其原料来源广泛,产品使用与终结绿色环保,并且具有较高的机械强度。将聚乳酸链引入脂肪族异氰酸酯基的聚氨酯中作为软段,可以在提高聚氨酯的力学性能的同时提高绿色成份含量。
因此,研究聚乳酸链段对聚氨酯材料的结构与性能的影响具有重要意义。
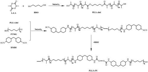
基于上述背景,中国科学院宁波材料技术与工程研究所生物基高分子课题组张若愚研究员等人采用开环共聚的方式,以丙交酯为单体,1,4-丁二醇为链转移剂,合成低分子量的聚乳酸二元醇(PLLA)。然后以PLLA、聚四氢呋喃二元醇(PTMG)为软段,4,4'-二环己基甲烷二异氰酸酯(HMDI)和1,4-丁二醇(BDO)为硬段,采用二步法合成一系列不同PLLA含量的聚氨酯材料(如图1)。应力应变曲线表明PLLA含量越高,会使聚氨酯材料的机械强度越好,但是也会同时降低断裂伸长率(如图2)。拉伸过程也会破坏聚氨酯材料中的PLLA晶体以及异氰酸硬段与PLLA链间的氢键(如图3)。
该工作即将发表于Chinese Journal of Polymer Science,硕士研究生石磊是该论文的第一作者,张若愚研究员、朱锦研究员和汤兆宾高级工程师为通讯作者。该项工作得到国家重点研发项目(No. 2017YFB0309300),国家自然科学基金(No. 51773218),中科院青年创新促进会(No. 2018338), 以及宁波市自然科学基金(No. 2018A610109)的资助。

图1. 聚氨酯样品的合成

图2. 聚氨酯材料的应力应变曲线

图3. 拉伸前后聚氨酯材料的微观结构示意图
免责声明:本网站所转载的文字、图片与视频资料版权归原创作者所有,如果涉及侵权,请第一时间联系本网删除。